Как сдать экзамен по математическому анализу, если не подготовлен?
Завтра экзамен по матану за 1 или 2 курс? Предстоит находить производные и интегралы, решать дифференциальные уравнения, исследовать функцию и сходимость ряда, а вы ничего не понимаете?
Нет времени и сил на подготовку к экзамену? Мы можем помочь.
Подробно решим и объясним задачи из билета в режиме реального времени. Вам понадобится только смартфон и внимание.
Схема работы
Оформляете заявку на сайте
Оплачиваете заказ прямо из дома
Автор в указанное время консультирует онлайн
Экзамен сдан!
Почему МатБюро?
- Быстро: первое решение в течение 2-5 минут после отсылки задания, оперативное последующее выполнение задач (как оказывается онлайн помощь).
- Подробно и понятно: сможете разобраться в решении, ответить на вопросы преподавателя, защитить работу (ниже примеры решений).
- Удобно: передаем решение подходящим для вас способом: e-mail, ВКонтакте, WhatsApp, Viber, Telegram.
- Качественно: гарантируем высокое качество решений от специалистов с многолетним опытом решения задач по математике (гарантии)
- Выгодно: цена помощи на экзамене по матанализу - от 1200 рублей. Это не выше, чем у частных лиц, плюс качество и надежность от компании МатБюро (отзывы студентов).
Вы сможете сдать экзамен практически по любым разделам математического анализа 1 и 2 курса: пределы и производные, интегралы и ряды, двойные, тройные, криволинейные интегралы, теория поля, комплексные числа и ТФКП, дифференциальные уравнения, ряды Фурье и т.п.
Отзывы студентов
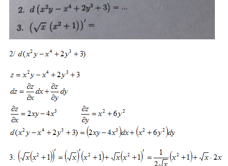
Примеры решений онлайн
Обращаем внимание, что это решения "прямо с экзамена", зачастую время в приоритете перед предельно аккуратным оформлением. Если у вас возникают вопросы по решению - автор на них ответит и даст разъяснения сразу же.
Полезная информация
- Как оказывается онлайн помощь на экзамене или контрольной
- Гарантии выполнения, риски, условия возврата оплаты
- Матан для чайников: примеры и учебники, решебники и экзамены









