Двойственные задачи линейного программирования
Двойственность является важным понятием в линейном программировании, имеющим экономическое (практическое) применение. Например, для задачи оптимального распределения ресурсов для производства некоторых видов товаров пара прямой и двойственной задачи принимает следующий экономический смысл:
Прямая задача: Сколько и какой продукции xj необходимо производить, чтобы при заданных доходах Cj и объемах ресурсов bi максимизировать доход от продажи продукции?
Двойственная задача: Какова должна быть "теневая" цена каждого ресурса yi, чтобы при заданных количествах bi и доходах Cj минимизировать затраты?
Для составления двойственных задач используют специальные правила, при решении же выбирают один из наиболее подходящих методов решения ЗЛП: симплекс-метод, графический метод. Более того, так как между парой двойственных задач существует связь, иногда достаточно решить только одну из задач, чтобы получить решение второй.
Примеры составления и решения двойственных задач линейного программирования приведены в этом разделе - изучайте, ищите похожие, решайте. Если вам нужна помощь в выполнении подобных заданий - Решение контрольных по линейному программированию.
Примеры составления и решения двойственных задач онлайн
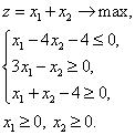
Задача 1. Записать математическую модель двойственной ЗЛП по заданной прямой:
Задача 2. Составить задачу, двойственную исходной задаче:
Задача 3. Решить задачу линейного программирования; составить задачу, двойственную данной, и также найти ее решение:

