Сравнение оформления решений задач и контрольных
Ниже будут приведены типичные примеры задач, решенных в Матбюро и решенных разными частными исполнителями среднего уровня (решения взяты из открытых источников в Интернет).
Почему МатБюро? Сравните сами.
- Вычисление приближенного значения функции двух переменных с помощью дифференциала
- Вычисление площади фигуры при помощи определенного интеграла
- Решение простого дифференциального уравнения
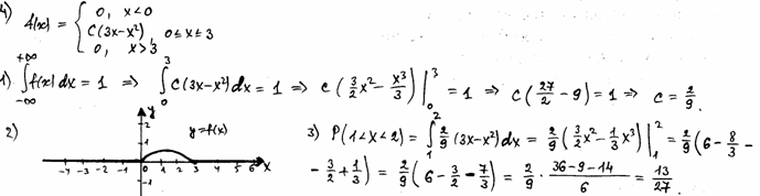
- Непрерывная случайная величина
- Задача на применение формулы Бернулли
Приведем несколько примеров оформленных решений задач по высшей математике и теории вероятностей (для увеличения картинки нажмите на нее). Цена в Матбюро - от 70-100 рублей. Цена частных исполнителей - от 50-100 рублей за задачу. Сравните качество решения задач одинаковых типов при приблизительно равных ценах.
Оформление задач по высшей математике
Задача 1. Вычисление приближенного значения функции двух переменных с помощью дифференциала.
Показать/Скрыть пример 1Решение исполнителя (от руки):
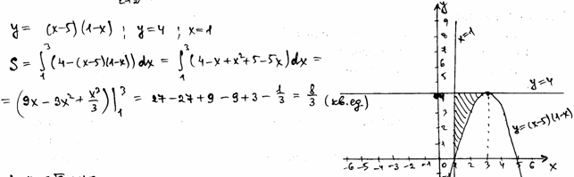
Задача 2. Вычисление площади фигуры при помощи определенного интеграла.
Показать/Скрыть пример 2Решение исполнителя (от руки):
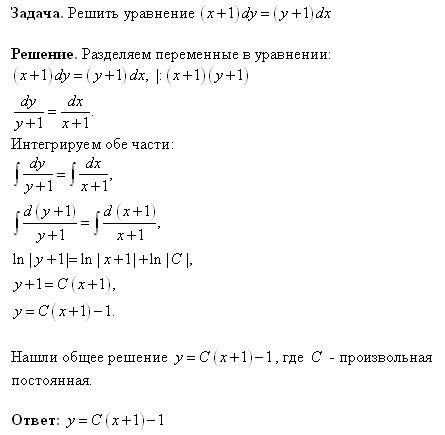
Задача 3. Решение простого дифференциального уравнения.
Показать/Скрыть пример 3Решение исполнителя (от руки):
Оформление задач по теории вероятностей
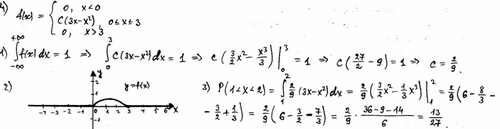
Задача 4. Непрерывная случайная величина.
Показать/Скрыть пример 4Решение исполнителя (от руки):
Задача 5. Задача на применение формулы Бернулли.
Показать/Скрыть пример 5Решение исполнителя (от руки):
Еще по этой теме: Правила оформления работ по математике, Примеры оформления контрольных работ.






